Calcul d'itinéraire
Protocole TCP/IP : paquets, routage des paquets
Distinguer le rôle des protocoles IP et TCP. Caractériser les principes du routage et ses limites.
Distinguer la fiabilité de transmission et l’absence de garantie temporelle.
Indépendance d’internet par rapport au réseau physique
Caractériser quelques types de réseaux physiques : obsolètes ou actuels, rapides ou lents, filaires ou non.
Caractériser l’ordre de grandeur du trafic de données sur internet et son évolution.
Exercice 1 - copilote
Vous souhaitez vous rendre de la ville A à la ville B. Une carte schématisée se trouve ci-dessous.

1. Pour y arriver le plus vite possible, déterminer la route à prendre.
2. Pour faire du tourisme et prendre son temps, déterminer la route à prendre sans passer
deux fois par la même ville.
3. Préciser comment être sûr du résultat
Exercice 2 - copilote efficace
Déterminer dans la carte ci-dessous :
1. le chemin le plus court entre la ville A et la ville N ;
2. le chemin le plus long entre la ville A et la ville N.

Exercice 3 - le plus court ?
Le chemin le plus court est mesuré selon quelle distance ?
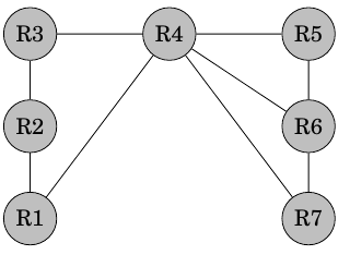
Exercice 4 - route la plus rapide
Le routeur numéro 1 (R1) souhaite envoyer un message au routeur numéro 7 (R7).

1. Indiquer quel chemin le message doit prendre.
2. Expliquer pourquoi ce choix de chemin (qui est effectivement implémenté sur Internet sous
le nom de protocole de routage RIP) est critiquable et améliorable.
J'ai correctement répondu aux questions
Catégorie : -
Page lue 175 fois
